Trong phân tích dữ liệu, việc chỉ biết giá trị trung bình là chưa đủ để hiểu rõ về bản chất của một tập hợp số liệu. Để đánh giá mức độ biến động và độ tin cậy của dữ liệu, chúng ta cần đến độ lệch chuẩn. Bài viết này, Starttrain sẽ hướng dẫn bạn từ A-Z cách tính độ lệch chuẩn trong Excel một cách nhanh chóng và chính xác.
Độ lệch chuẩn là gì?
Độ lệch chuẩn (Standard Deviation) là một đại lượng thống kê quan trọng dùng để đo lường mức độ phân tán của các giá trị trong một tập dữ liệu so với số trung bình cộng của chúng. Hiểu một cách đơn giản, nó cho bạn biết các con số trong tập dữ liệu đang “cách xa” hay “gần” giá trị trung tâm đến mức nào.

Dựa vào kết quả độ lệch chuẩn, chúng ta có thể đánh giá tính chất của dữ liệu:
- Độ lệch chuẩn thấp: Cho thấy các điểm dữ liệu có xu hướng rất gần với giá trị trung bình. Điều này chứng tỏ dữ liệu có tính ổn định cao, đồng nhất và ít biến động.
- Độ lệch chuẩn cao: Cho thấy các điểm dữ liệu trải rộng trên một phạm vi lớn. Đây là dấu hiệu của sự biến động mạnh, dữ liệu không đồng đều hoặc có sự xuất hiện của các giá trị ngoại lai (outliers).
Phân loại độ lệch chuẩn trong thống kê
Trong thực tế phân tích, độ lệch chuẩn được chia làm hai loại chính để đảm bảo tính chính xác cho từng mục đích nghiên cứu:
- Độ lệch chuẩn tổng thể (Population Standard Deviation): Được áp dụng khi bạn có dữ liệu của toàn bộ đối tượng nghiên cứu (ví dụ: chiều cao của tất cả học sinh trong một lớp). Ký hiệu là .
- Độ lệch chuẩn mẫu (Sample Standard Deviation): Được áp dụng khi bạn chỉ thu thập dữ liệu từ một nhóm nhỏ đại diện cho tổng thể (ví dụ: khảo sát thu nhập của 100 người để đại diện cho cả một thành phố). Ký hiệu là s.

Công thức tính độ lệch chuẩn
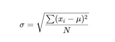
Về mặt toán học, độ lệch chuẩn là căn bậc hai của phương sai. Công thức tổng quát cho độ lệch chuẩn tổng thể như sau:

Trong đó xi là giá trị của từng điểm dữ liệu, là giá trị trung bình và N là tổng số lượng điểm dữ liệu.
Khi nào cần biết cách tính độ lệch chuẩn trong Excel
Việc tính độ lệch chuẩn trong Excel không chỉ dành cho các nhà toán học mà là kỹ năng thiết yếu trong nhiều ngành nghề thực tế.
Trong đầu tư và tài chính
Độ lệch chuẩn là thước đo chính cho rủi ro thị trường.
- Đánh giá biến động: Các nhà đầu tư sử dụng nó để đo lường mức độ biến động giá của cổ phiếu hoặc quỹ đầu tư.
- Ra quyết định: Nếu một danh mục có độ lệch chuẩn cao, nó hứa hẹn lợi nhuận lớn nhưng cũng đi kèm rủi ro thua lỗ nặng nề. Ngược lại, độ lệch chuẩn thấp phản ánh một khoản đầu tư an toàn và ổn định hơn.

Trong quản lý chất lượng sản xuất
Trong các nhà máy, độ lệch chuẩn giúp kiểm soát quy trình (Statistical Process Control):
- Đảm bảo tính đồng nhất: Nếu bạn sản xuất 10.000 chai nước, độ lệch chuẩn về dung tích phải cực thấp để đảm bảo mọi chai đều có lượng nước như nhau.
- Phát hiện lỗi: Nếu độ lệch chuẩn tăng lên bất thường, đó là tín hiệu cho thấy máy móc có thể đang gặp sự cố hoặc nguyên liệu đầu vào không ổn định, giúp doanh nghiệp kịp thời điều chỉnh để giảm tỷ lệ hàng lỗi.
Trong lĩnh vực giáo dục và đào tạo
Giáo viên và các nhà quản lý giáo dục dùng chỉ số này để phân tích kết quả học tập:
- Đánh giá sự phân hóa: Một bài kiểm tra có điểm trung bình là 7 nhưng độ lệch chuẩn cao cho thấy lớp học có sự phân hóa lớn (nhiều bạn điểm rất cao nhưng cũng nhiều bạn điểm rất thấp).
- Điều chỉnh phương pháp: Nếu độ lệch chuẩn thấp, giáo viên có thể dạy theo một tốc độ chung. Nếu cao, giáo viên cần chia nhóm hoặc có biện pháp hỗ trợ riêng cho các nhóm trình độ khác nhau.

Trong nghiên cứu khoa học và y tế
- Xác định độ tin cậy: Khi thực hiện các thí nghiệm lặp lại, độ lệch chuẩn cho biết kết quả có đáng tin hay không. Độ lệch chuẩn càng nhỏ thì thí nghiệm càng có tính lặp lại tốt.
- Y tế: Dùng để xác định các chỉ số sức khỏe “bình thường”. Ví dụ, huyết áp của một người được coi là bất thường nếu nó nằm ngoài khoảng 2 lần độ lệch chuẩn so với trung bình của quần thể.
Cách tính độ lệch chuẩn trong Excel chi tiết
Để tính độ lệch chuẩn trong Excel, bạn không cần phải thực hiện các phép tính căn bậc hai hay bình phương thủ công phức tạp. Excel cung cấp các hàm chuyên dụng giúp bạn có kết quả chính xác chỉ trong vài giây. Tìm hiểu cách tính độ lệch chuẩn trong Excel như sau:
Các hàm tính độ lệch chuẩn quan trọng
Tùy vào tập dữ liệu hiện có, bạn cần chọn hàm phù hợp để tránh sai số trong thống kê:
- Hàm STDEV.S (Standard Deviation Sample):
- Mục đích: Tính độ lệch chuẩn cho một mẫu dữ liệu.
- Khi nào dùng: Khi bạn chỉ có một phần dữ liệu đại diện cho một nhóm lớn (Ví dụ: Khảo sát chi tiêu của 50 hộ gia đình để ước tính cho cả thành phố).
- Công thức Excel: =STDEV.S(number1, [number2], …)
- Hàm STDEV.P (Standard Deviation Population):
- Mục đích: Tính độ lệch chuẩn cho “toàn bộ tổng thể”.
- Khi nào dùng: Khi bạn có đầy đủ dữ liệu của tất cả đối tượng cần nghiên cứu (Ví dụ: Điểm số của tất cả học sinh trong một lớp học cụ thể).
- Công thức Excel: =STDEV.P(number1, [number2], …)
- Hàm STDEVA và STDEVPA:
- Hai hàm này tương tự STDEV.S và STDEV.P nhưng chúng tính toán cả các giá trị logic (TRUE/FALSE) và văn bản trong dãy ô dữ liệu.

Quy trình thực hiện cách tính độ lệch chuẩn trong Excel
Hãy thực hiện theo các bước sau để tính độ lệch chuẩn cho dãy dữ liệu nằm từ ô A2 đến A10:
- Bước 1: Chuẩn bị dữ liệu. Đảm bảo dữ liệu của bạn nằm trong một cột hoặc một hàng liên tục để dễ dàng quét vùng tham chiếu.
- Bước 2: Chọn ô đặt kết quả. Nhấp chuột vào một ô trống bất kỳ nơi bạn muốn hiển thị kết quả độ lệch chuẩn.
- Bước 3: Nhập hàm. – Nếu là dữ liệu mẫu, hãy gõ: =STDEV.S(
- Sau đó dùng chuột quét vùng dữ liệu từ A2 đến A10.
- Công thức hoàn chỉnh sẽ là: =STDEV.S(A2:A10)
- Bước 4: Nhấn Enter. Excel sẽ ngay lập tức tính toán và trả về kết quả.
Ví dụ minh họa thực tế và giải thích
Tình huống: Bạn có điểm kiểm tra của 5 sinh viên: 7, 8, 9, 7, 9. Hãy tính độ lệch chuẩn để xem điểm số của lớp này ổn định hay biến động.
- Dữ liệu tại Excel: Ô A1 (7), A2 (8), A3 (9), A4 (7), A5 (9).
- Phép tính: Bạn nhập công thức =STDEV.P(A1:A5) (Vì đây là toàn bộ sinh viên của nhóm này).
- Kết quả: Excel trả về giá trị khoảng 0.894.
Giải thích kết quả:
- Giá trị trung bình của dãy điểm này là 8.
- Độ lệch chuẩn là 0.894 (một con số khá nhỏ).
- Điều này có nghĩa là đa số các sinh viên đều có mức điểm rất sát với điểm 8 (dao động trong khoảng từ 7.1 đến 8.9). Lớp học này có trình độ rất đồng đều.
Nếu kết quả độ lệch chuẩn là 3.0, điều đó cho thấy có sinh viên được điểm rất cao (10) nhưng cũng có sinh viên điểm rất thấp (4), mức độ phân hóa trong lớp là cực kỳ lớn.
Một số lưu ý và lỗi thường gặp
Trong quá trình sử dụng, bạn có thể gặp phải một số vấn đề sau:
- Lỗi #DIV/0!: Lỗi này xảy ra khi bạn dùng hàm STDEV.S cho tập dữ liệu chỉ có 1 giá trị duy nhất. Do công thức mẫu chia cho (n-1), nếu n=1 thì mẫu số bằng 0, dẫn đến lỗi. Bạn cần ít nhất 2 giá trị để tính độ lệch chuẩn mẫu.
- Dữ liệu dạng văn bản: Các hàm STDEV.S và STDEV.P mặc định sẽ bỏ qua các ô chứa chữ hoặc ô trống. Nếu bạn muốn các giá trị văn bản được tính là 0, hãy sử dụng hàm STDEVA.
- Phiên bản Excel: Nếu bạn dùng Excel 2007 trở về trước, hàm STDEV.S được gọi đơn giản là STDEV. Tuy nhiên, từ phiên bản 2010 trở đi, bạn nên dùng STDEV.S để đảm bảo tính tương thích và chính xác nhất.
Kết luận
Việc nắm vững cách tính độ lệch chuẩn trong Excel là một lợi thế lớn giúp bạn làm chủ các báo cáo phân tích số liệu. Thay vì chỉ nhìn vào con số trung bình bề nổi, độ lệch chuẩn cung cấp cái nhìn sâu sắc hơn về độ tin cậy và sự ổn định của dữ liệu.
Dù bạn đang làm việc trong lĩnh vực tài chính, giáo dục hay sản xuất, việc áp dụng đúng hàm STDEV.S hoặc STDEV.P sẽ giúp các nhận định của bạn trở nên chuyên nghiệp và thuyết phục hơn. Hãy bắt đầu áp dụng ngay vào bảng tính của mình để thấy rõ sự khác biệt!
Để làm chủ hoàn toàn các kỹ thuật thống kê và công cụ phân tích hiện đại, hãy tham khảo các lộ trình học Excel nâng cao tại Starttrain: Khóa học Excel for Business Analytics để làm chủ Excel từ cơ bản đến nâng cao.