Địa chỉ:
Lầu 7 Tòa nhà STA, 618 đường 3/2, Phường Diên Hồng (Phường 14, Quận 10), TP HCM
Giờ làm việc
Thứ 2 tới thứ 6: 8:00 - 17:00
Địa chỉ:
Lầu 7 Tòa nhà STA, 618 đường 3/2, Phường Diên Hồng (Phường 14, Quận 10), TP HCM
Giờ làm việc
Thứ 2 tới thứ 6: 8:00 - 17:00
Standard Deviation (SD), hay còn gọi là độ lệch chuẩn, là một trong những chỉ số thống kê quan trọng nhất được sử dụng rộng rãi trong nhiều lĩnh vực, từ tài chính, kinh tế đến khoa học và đặc biệt là phân tích dữ liệu (Data Analysis) và Business Intelligence (BI).
Việc hiểu rõ độ lệch chuẩn không chỉ giúp bạn mô tả dữ liệu một cách chính xác mà còn hỗ trợ đưa ra các quyết định kinh doanh sáng suốt, đánh giá rủi ro và xác định độ tin cậy của các mô hình dự báo. Hãy cùng tìm hiểu chi tiết về độ lệch chuẩn trong bài viết dưới đây của Starttrain nhé!
Độ lệch chuẩn (Standard Deviation – SD) là thước đo mức độ phân tán hay biến thiên của một tập dữ liệu so với giá trị trung bình (Mean) của tập dữ liệu đó. Standard Deviation được tính toán bằng cách lấy căn bậc hai của phương sai (Variance).
Độ lệch chuẩn thể hiện mức độ phân tán của các điểm dữ liệu rời rạc so với giá trị trung bình:

Trong phân tích dữ liệu và tài chính, Standard Deviation được sử dụng như một thước đo rủi ro và tính biến động (volatility). Ví dụ, trong đầu tư, khi áp dụng cho tỷ suất lợi nhuận hàng năm của một tài sản, SD cung cấp thông tin về tính biến động lịch sử của tài sản đó:
Vì lẽ đó, độ lệch chuẩn là một trong những chỉ số rủi ro cơ bản mà các nhà phân tích, quản lý danh mục đầu tư và cố vấn tài chính thường xuyên sử dụng.
Xem thêm: Phân phối chuẩn là gì? Công thức tính và ứng dụng chi tiết
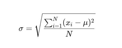
Standard Deviation (SD) được ký hiệu phổ biến là σ (sigma). Việc sử dụng công thức nào phụ thuộc vào việc tập dữ liệu đang được phân tích là toàn bộ tổng thể (Population) hay chỉ là một mẫu (Sample) đại diện cho tổng thể đó.
Công thức này được sử dụng khi bạn có quyền truy cập và đo lường toàn bộ tập dữ liệu của tổng thể (ví dụ: tất cả nhân viên trong một công ty nhỏ, toàn bộ kết quả của một kỳ thi). Đây là công thức xác định độ phân tán thực tế của tổng thể.

Trong đó:
Quy trình tính toán như sau:
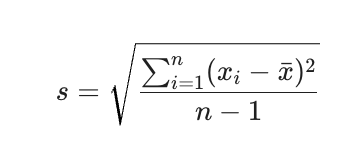
Công thức này được sử dụng phổ biến hơn trong thực tế, khi không thể đo lường toàn bộ tổng thể và chỉ có thể phân tích một mẫu ngẫu nhiên đại diện. Mục đích của việc tính s là để ước tính Population Standard Deviation (σ) của tổng thể một cách không thiên vị nhất có thể.


Sự khác biệt chính giữa hai công thức SD nằm ở mẫu số và mục đích sử dụng:
Giả sử bạn có tập dữ liệu về doanh số bán hàng hàng ngày (triệu VNĐ) của một mẫu 5 ngày: {10, 12, 8, 15, 5}.

Vậy ở ví dụ này độ lệch chuẩn là 3.81 triệu VNĐ. Điều này cho thấy doanh số bán hàng hàng ngày thường dao động khoảng 3.81 triệu VNĐ so với mức trung bình là 10 triệu VNĐ.
Độ lệch chuẩn là một chỉ số mô tả quan trọng, cung cấp cái nhìn sâu sắc về chất lượng và cấu trúc của dữ liệu trong phân tích.
Độ lệch chuẩn giúp phân loại mức độ tập trung hay phân tán của các điểm dữ liệu so với giá trị trung bình:

Độ lệch chuẩn là công cụ nền tảng để nhận diện các giá trị bất thường. Trong các phân phối chuẩn (Normal Distribution), SD tuân theo Quy tắc 68-95-99.7 (Quy tắc Thực nghiệm):
Các điểm dữ liệu nằm ngoài 2 SD hoặc 3 SD thường được coi là các giá trị ngoại lai. Việc xác định và xử lý các giá trị này rất quan trọng để làm sạch dữ liệu và cải thiện độ chính xác của các mô hình phân tích.
SD là thước đo không thể thiếu để đo lường tính biến động (volatility) của giá cổ phiếu, quỹ đầu tư hoặc tỷ suất lợi nhuận.
Ví dụ: Khi so sánh cổ phiếu A có lợi nhuận trung bình 7% với SD 10% và cổ phiếu B có cùng lợi nhuận trung bình nhưng SD là 50%. Cổ phiếu A rõ ràng là lựa chọn an toàn hơn vì có xác suất đạt lợi nhuận gần 7% cao hơn, mặc dù cổ phiếu B có tiềm năng mang lại lợi nhuận (hoặc thua lỗ) lớn hơn đáng kể.

Độ lệch chuẩn là công cụ cốt lõi để theo dõi và cải thiện chất lượng sản phẩm và quy trình.
SD được sử dụng để đánh giá sự biến thiên của dữ liệu và dự đoán xu hướng trong tương lai, giúp lập kế hoạch tài chính và vận hành.

SD có thể đánh giá các phân tích như đường găng (critical path analysis) và giá trị thu được (earned value). Nó được sử dụng để đo lường các độ lệch, theo dõi tiến độ và định lượng rủi ro liên quan đến việc hoàn thành dự án.
Standard Deviation giúp phân tích sự phân tán của dữ liệu thực nghiệm và môi trường.
Standard Deviation là chỉ số cơ bản trong mọi báo cáo phân tích mô tả. Nó cung cấp ngữ cảnh cần thiết khi xem xét các chỉ số trung bình (Mean). Ví dụ, nếu hai cửa hàng có doanh thu trung bình bằng nhau, nhưng cửa hàng A có SD thấp hơn, tức là doanh thu của cửa hàng A ổn định và dễ dự đoán hơn.
Standard Deviation là một công cụ phân tích không thể thiếu, giúp chuyển đổi dữ liệu thô thành thông tin giá trị. Nếu bạn muốn áp dụng các công cụ thống kê mạnh mẽ như độ lệch chuẩn để tạo ra các báo cáo thông minh, đưa ra dự đoán chính xác và định hình chiến lược kinh doanh dựa trên dữ liệu, việc nắm vững các kiến thức nền tảng về Business Intelligence là vô cùng cần thiết.

Để đi sâu hơn vào việc sử dụng các chỉ số thống kê này trong bối cảnh ra quyết định kinh doanh, bạn có thể tham khảo khóa học Business Intelligence Essentials của Starttrain. Khóa học sẽ trang bị cho bạn không chỉ kiến thức về Standard Deviation mà còn toàn bộ quy trình từ thu thập, làm sạch, đến phân tích và trực quan hóa dữ liệu để tối ưu hóa hiệu suất hoạt động của doanh nghiệp.
Standard Deviation không chỉ là một con số thống kê, nó là công cụ mô tả dữ liệu mạnh mẽ, giúp chuyển đổi sự mơ hồ về biến động thành thông tin có thể đo lường được. Từ việc đánh giá rủi ro của một danh mục đầu tư đến việc đảm bảo chất lượng sản phẩm đồng nhất, SD là yếu tố cốt lõi để đưa ra các quyết định sáng suốt dựa trên dữ liệu.
Bằng cách nắm vững cách độ lệch chuẩn hoạt động, bạn sẽ có khả năng nhìn nhận sâu sắc hơn về dữ liệu, phân biệt được sự ổn định và bất thường, từ đó tối ưu hóa hiệu suất trong mọi lĩnh vực kinh doanh.