Địa chỉ:
Lầu 7 Tòa nhà STA, 618 đường 3/2, Phường Diên Hồng (Phường 14, Quận 10), TP HCM
Giờ làm việc
Thứ 2 tới thứ 6: 8:00 - 17:00
Địa chỉ:
Lầu 7 Tòa nhà STA, 618 đường 3/2, Phường Diên Hồng (Phường 14, Quận 10), TP HCM
Giờ làm việc
Thứ 2 tới thứ 6: 8:00 - 17:00
Phân phối chuẩn (hay còn gọi là phân phối Gauss hoặc đường cong hình chuông) là một trong những khái niệm quan trọng và được sử dụng rộng rãi nhất trong xác suất thống kê. Nó mô tả cách mà nhiều hiện tượng tự nhiên, xã hội và kinh tế được phân bổ xung quanh một giá trị trung tâm.
Phân phối chuẩn là một loại phân phối xác suất liên tục cho một biến ngẫu nhiên có biểu đồ tần suất (histogram) hoặc hàm mật độ xác suất (Probability Density Function – PDF) có hình dạng đối xứng hoặc hình chuông (bell-shaped curve).
Ngoài ra, dạng phân phối này còn được biết đến với tên gọi Phân phối Gauss (Gaussian Distribution) trong xác suất thống kê, đặt theo tên nhà toán học Carl Friedrich Gauss.

Mô hình phân phối này được đặc trưng hoàn toàn bởi hai tham số:


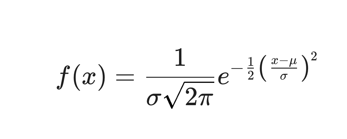
Hàm mật độ xác suất (PDF) của một biến ngẫu nhiên X tuân theo phân phối Gauss với kỳ vọng và phương sai 2 được cho bởi công thức:

Trong đó:
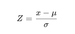
Phân phối chuẩn hóa là trường hợp đặc biệt của phân phối chuẩn, ký hiệu ZN(0,1), với:
Mọi biến ngẫu nhiên X tuân theo phân phối chuẩn đều có thể được chuẩn hóa thành biến Z bằng phép biến đổi Z-score:

Việc chuẩn hóa này cho phép chúng ta sử dụng bảng Z-score (Standard Normal Table) để tính xác suất cho mọi phân phối chuẩn mà không cần phải tính toán tích phân phức tạp.
Xem thêm: Data Analytics là gì? Có điểm gì khác với Data Analysis
Độ dốc (Skewness) là một chỉ số đo lường mức độ bất đối xứng của phân phối xác suất của một biến ngẫu nhiên.
Theo định nghĩa, phân phối Gauss là hoàn toàn đối xứng qua giá trị trung bình. Do đó, độ dốc (Skewness) của phân phối chuẩn luôn bằng 0.
Việc phân tích độ dốc giúp đánh giá mức độ dữ liệu thực tế gần với giả định phân phối Gauss như thế nào, điều này rất quan trọng trong nhiều kỹ thuật kiểm định giả thuyết thống kê.

Phân phối chuẩn là công cụ không thể thiếu trong thống kê suy luận (Inferential Statistics) giúp chúng ta đưa ra kết luận về một quần thể dựa trên dữ liệu mẫu.
Phân phối Gauss được sử dụng để xây dựng khoảng tin cậy cho giá trị trung bình của quần thể. Dựa trên Z-score hoặc T-score (khi n nhỏ), chúng ta có thể xác định một khoảng mà giá trị trung bình thực của quần thể có khả năng nằm trong đó với một mức tin cậy nhất định.

Nhiều kiểm định thống kê phổ biến nhất (như kiểm định Z và kiểm định t) đều dựa trên giả định rằng phân phối của trung bình mẫu là chuẩn (theo CLT). Các kiểm định này giúp xác định liệu sự khác biệt quan sát được giữa các mẫu hoặc giữa mẫu và quần thể có ý nghĩa thống kê hay không.

Phân phối chuẩn là một mô hình thống kê tuyệt vời cho nhiều hiện tượng:
Phân phối chuẩn (Normal Distribution) vượt ra ngoài phạm vi của một khái niệm toán học đơn thuần, trở thành một công cụ mô hình hóa mạnh mẽ giúp giải thích sự phân bố của vô số hiện tượng trong thế giới thực.
Tính nền tảng của nó được củng cố nhờ Định lý Giới hạn Trung tâm (CLT). Định lý này khẳng định rằng, phân phối của các giá trị trung bình mẫu sẽ tiến về dạng chuẩn bất kể hình dạng phân phối ban đầu của quần thể. Điều này khiến phân phối chuẩn trở thành mô hình mặc định và là công cụ cơ bản nhất trong thống kê suy luận.
Về mặt ứng dụng, việc hiểu và sử dụng phân phối chuẩn là bước đi quan trọng đầu tiên để chuyển đổi dữ liệu thô thành các quyết định và suy luận có giá trị. Tính ứng dụng của nó bao trùm nhiều lĩnh vực: từ việc xác định chất lượng sản phẩm trong công nghiệp, đánh giá hiệu suất nhân viên, đến phân tích rủi ro tài chính và kiểm định các giả thuyết khoa học.
Cuối cùng, phân phối Gauss tạo ra sự kết nối mạnh mẽ giữa lý thuyết và thực tế. Nhờ khả năng chuẩn hóa dữ liệu (sử dụng Z-score), nó cung cấp một khuôn khổ thống nhất để dễ dàng so sánh các bộ dữ liệu khác nhau, định lượng xác suất và đánh giá độ bất thường của các quan sát. Tóm lại, nắm vững phân phối chuẩn là chìa khóa để mở cánh cửa vào thế giới phân tích và dự đoán bằng thống kê.
Tìm hiểu thêm: Khóa học phân tích dữ liệu chuyên sâu tại Starttrain